group improve n
1 Control no 12
2 Control yes 3
3 Treatment no 5
4 Treatment yes 10

Hypothesis Testing III
Megan Ayers
Math 141 | Spring 2026
Wednesday, Week 8
Have two competing hypotheses:
Null Hypothesis \((H_0)\): “Dull” hypothesis, status quo, random chance, no effect…
Alternative Hypothesis \((H_a)\): The researchers’ conjecture.
Must first take those hypotheses and translate them into statements about the population parameters so that we can test them with sample data.
Example:
\(H_0\): ESP doesn’t exist.
\(H_a\): ESP does exist.
Then translate into a statistical problem!
Q: Using formal statistical/mathematical notation, how should we define these?
\(p\) =
\(H_0\):
\(H_a\):
In 2005, researchers Antonioli and Reveley posed the question “Does swimming with the dolphins help depression?” They recruited 30 US subjects diagnosed with mild to moderate depression. Participants were randomly assigned to either the treatment group (swimming with dolphins) or the control group (swimming without dolphins). After two weeks, each subject was categorized as “showed substantial improvement” or “did not show substantial improvement”.
Snapshot of the data:
group improve
1 Control yes
2 Treatment no
3 Control no
4 Treatment yes
5 Control no
6 Control no
7 Treatment yes
8 Control no
Q: How might we generate the null distribution for this scenario?
Let’s return to the penguins data and ask if flipper length varies, on average, by the sex of the penguin.
Research Question: Does flipper length differ by sex?
Response Variable:
Explanatory Variable:
Statistical Hypotheses:
Compute observed test statistic:
# A tibble: 2 × 2
sex avg_length
<fct> <dbl>
1 female 197.
2 male 205.
\(\rightarrow\) Our test statistic is: 7.1424
Generate the null distribution by simulating many data sets where gender is shuffled (code not shown for brevity), and visualize null sampling distribution compared to our test statistic:

Q: Guesses for p-value?

Calculate the p-value for a two-sided test:
[1] 0
Interpretation of \(p\)-value: If the mean flipper length does not differ by sex in the population, the probability of observing a difference in the sample means of at least 7.14 mm (in magnitude) is equal to 0.
Conclusion: These data represent evidence that flipper length does vary by sex.
Once you get to the end of a hypothesis test you make one of two decisions:
Sometimes we make the correct decision. Sometimes we make a mistake.
Let’s create a table of potential outcomes on the board.
\(\alpha\) = prob of Type I error under repeated sampling = prob reject \(H_0\) when it is true
\(\beta\) = prob of Type II error under repeated sampling = prob fail to reject \(H_0\) when \(H_a\) is true.
We should set \(\alpha\) level beforehand.
Use \(\alpha\) to determine “small” for a p-value.
Open Question: How do I select \(\alpha\)?
Will depend on the convention in your field (0.05 is common).
Want a small \(\alpha\) and a small \(\beta\). But they are related.
Choose a lower \(\alpha\) (e.g., 0.01, 0.001) when the Type I error is worse and a higher \(\alpha\) (e.g., 0.1) when the Type II error is worse.
Open Question: How do I select \(\alpha\)?
Will depend on the convention in your field (0.05 is common).
Want a small \(\alpha\) and a small \(\beta\). But they are related.
Q: Can’t easily compute \(\beta\) (probability of failing to reject a false null hypothesis). Why?
Important related concept:

Suppose we want to test whether someone can detect AI-generated text from real text. We show a participant 10 short passages that are each either written by a human or an AI agent, and ask them to identify which are written by AI. Suppose the participant’s true (long-run) detection rate is 70%.
\(H_0\):
\(H_a\):

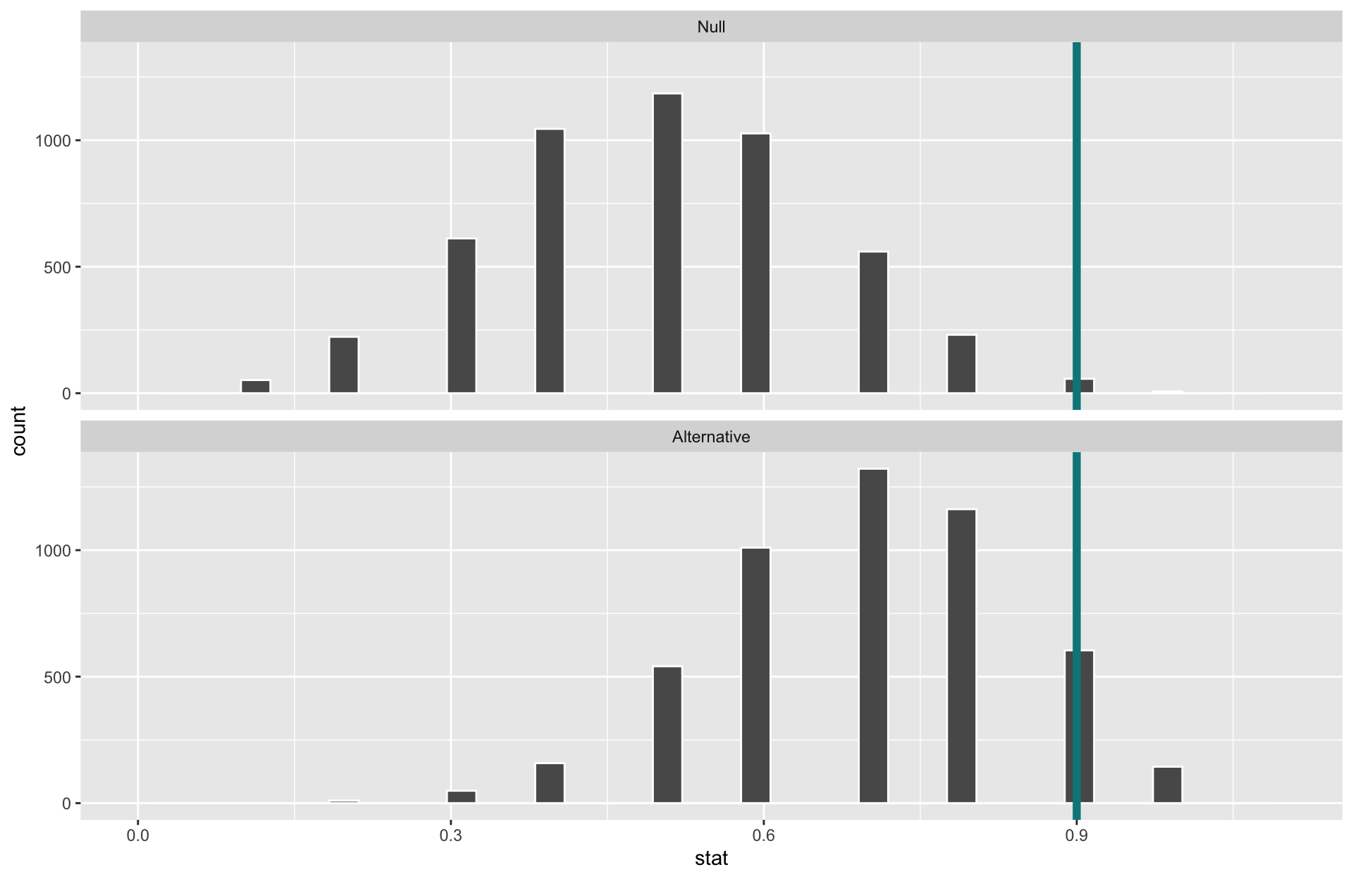
When \(\alpha=0.05\), they need 9 or more correct for a small enough p-value to reject \(H_o\).
When \(\alpha=0.05\), the power of this test is 0.15.

Suppose we want to test whether someone can detect AI-generated text from real text. We show a participant 10 50 short passages that are each either written by a human or an AI agent, and ask them to identify which are written by AI. Suppose the participant’s true (long-run) detection rate is 70%.

Increasing the sample size narrows the sampling distributions and increases the power.
When \(\alpha\) is set to \(0.05\) and the sample size is now 50, the power of this test is 0.87.
Suppose we want to test whether someone can detect AI-generated text from real text. We show a participant 10 50 short passages that are each either written by a human or an AI agent, and ask them to identify which are written by AI. Suppose the participant’s true (long-run) detection rate is 70%.

Suppose we want to test whether someone can detect AI-generated text from real text. We show a participant 10 50 short passages that are each either written by a human or an AI agent, and ask them to identify which are written by AI. Suppose the participant’s true (long-run) detection rate is 70% 80%.

Effect size: Difference between true value of the parameter and null value.
Increasing the effect size increases the power.
When \(\alpha\) is set back to \(0.05\), the sample size is 50, and the true probability of detecting AI is 0.8, the power of this test is 0.998.
alt_stats <- data.frame(correct = rep(c(0, 1),
times = c(3, 7))) %>%
rep_sample_n(size = 50, replace = TRUE,
reps = 5000) %>%
group_by(replicate) %>%
summarize(stat = mean(correct))
ggplot(data = alt_stats, mapping = aes(x = stat)) +
geom_histogram(bins = 20, color = "white") +
geom_vline(xintercept = 0.64,
size = 2, color = "turquoise4")
Q: We saw how \(\alpha\), \(n\), and the effect size affected power. What aspects of the test do we actually have control over?
Q: Why is it easier to set \(\alpha\) than to set \(\beta\) or power?
Although it can be challenging, considering power before collecting data is very important!
Under-powered studies carry large risks